您当前位置:资讯中心 >服务器 >浏览文章

Git 难用?有救!

来源:互联网 日期:2023/11/30 7:54:55 阅读量:(0)

Git 设计问题

尽管 Git 被广大程序员所推崇,但它并非完美无缺,也不适用于所有场景。

命令繁多且易混淆

  • Git 至少有 157 个命令,常用的可能仅有十个。
  • 更麻烦的是,你可能会发现经常使用的命令与实际操作不完全对应,这会增加认知负担。通常,你需要组合多个命令来实现目标,说明 Git 的命令设计过于底层。

暂存区(staging area)

暂存区是 Git 仓库的关键部分,负责协调和管理文件变更。优点:

  1. 暂存变更:当你修改文件后,Git 会将变更暂存在暂存区,而非直接应用到仓库。这样,你可以在提交前查看和验证变更,确保符合预期。
  2. 控制提交:暂存区有助于有目的地进行提交。如果没有暂存区,每次修改文件,Git 都会自动提交变更,可能导致频繁提交,难以回滚。使用暂存区,你可以更有意识地管理提交,避免不必要的冲突和错误。
  3. 简化提交操作:暂存区使得提交过程更简单。只需将所需更改暂存,然后一次性提交到仓库。减少多次提交操作,提高工作效率。
  4. 便于回滚:暂存区让你在提交变更前查看和修复问题。若在暂存区发现问题,可直接回滚到之前版本,无需担心之前的修改。降低错误影响,加快修复速度。
  5. 版本控制:暂存区有助于更好地进行版本控制。开发过程中,可以将暂存区的变更与特定版本关联,便于需要时回滚到之前版本。对大型项目尤为重要,保持项目稳定性,同时允许团队成员进行实验性开发。

缺点:

复杂性增加:对于初学者,暂存区的概念可能较难理解。

全新工具助力 git

许多新工具致力于改进 git 的用户体验,根据我个人的观察,这些改进主要集中在简化命令、清除暂存区、推崇单一主干分支理念以及 stack 工作流。其中,stack 工作流尤为值得一提,下面将以 meta 的 sapling 为例进行讲解。

stack 工作流

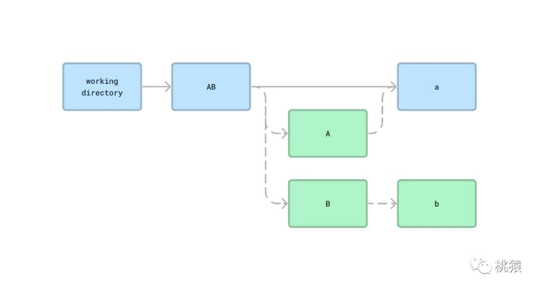
使用过 git 的朋友们应该都能体会到 rebase 的优势,但在实际操作中,人们往往感到困惑。以下是一个典型场景:

  1. 首先,a 基于 AB 进行开发。
  2. 随后,需求 b 基于 AB 中的 B 部分展开。
  3. 原本计划发布的 a 推迟了,导致 b 希望尽早发布。
  4. 此时,人们希望将 AB 拆分为 A 和 B 的最小改动,让 b 从 B 进行 rebase。
  5. 最后,我们可以以最小影响发布 b + B。

图片图片

在这个过程中,git 的操作显得不那么友好,提交是线性维度的。要更好地控制 git,只能开启新分支,而若要从中间拆分分支,则需要手动处理大量后续节点。sapling 就在这方面提供了 stack 工作流的支持。

  1. 仅关注相关仓库和提交,无关提交不显示无关仓库甚至无需下载。
  2. 本地分支甚至无需命名,全自动化管理,自然也省去了暂存区。
  3. 无需使用 rebase,而是提供了 split fold 等操作,遵循一个命令只完成一个任务且能 undo 的思路,精心设计。
  4. 增加了 git 所不具备的变更记录,便于进行自动化操作,例如,在 A-B-C 提交中,将 A 合入 master。sapling 能根据新增的 A-master 记录,自动将 B-C rebase 到 master。

在多人合作开发中,很多团队可能无法直接进入主干开发模式,更多的情况是:

  1. 基建 AB 需要进一步拆分为更多层级,以合理维护依赖链。
  2. 由于一直未合入,新需求 c 加入,需要从 AB 再次拆分为依赖 AB-C 的复杂形式。
  3. 同样,由于无法合入,a、b、c 均需单独提测。此时,git 中很可能面临数百个提交、数千个变更的混乱局面,几乎失控。若要坚持多个分支 rebase,每次更新链路需执行数十甚至上百个命令。
  4. sapling 针对这种情况进行了专门设计,实现单个链路自动化 rebase,code review、合并、测试等环节优雅无缝!

图片图片

最后,如果 sapling 对你来说改动过大(暂不兼容 gitlab),可以尝试另一个开源项目 git town,它也是 stack 工作流的一部分。

https://www.highflux.io/blog/highflux-method https://sapling-scm.com/docs/introduction/differences-git https://www.git-town.com/


关键字:
声明:我公司网站部分信息和资讯来自于网络,若涉及版权相关问题请致电(63937922)或在线提交留言告知,我们会第一时间屏蔽删除。
有价值
0% (0)
无价值
0% (10)

分享转发:

发表评论请先登录后发表评论。愿您的每句评论,都能给大家的生活添色彩,带来共鸣,带来思索,带来快乐。